欢迎访问ic37.com |
会员登录 免费注册
发布采购

OR2C15A-2BC208 参数 Datasheet PDF下载

OR2C15A-2BC208图片预览
型号: OR2C15A-2BC208
PDF下载: 下载PDF文件 查看货源
内容描述: 现场可编程门阵列 [Field-Programmable Gate Arrays]
分类和应用: 现场可编程门阵列
文件页数/大小: 192 页 / 2992 K
品牌: ETC [ ETC ]
 浏览型号OR2C15A-2BC208的Datasheet PDF文件第91页浏览型号OR2C15A-2BC208的Datasheet PDF文件第92页浏览型号OR2C15A-2BC208的Datasheet PDF文件第93页浏览型号OR2C15A-2BC208的Datasheet PDF文件第94页浏览型号OR2C15A-2BC208的Datasheet PDF文件第96页浏览型号OR2C15A-2BC208的Datasheet PDF文件第97页浏览型号OR2C15A-2BC208的Datasheet PDF文件第98页浏览型号OR2C15A-2BC208的Datasheet PDF文件第99页  
Data Sheet  
June 1999  
ORCA Series 2 FPGAs  
Pin Information (continued)  
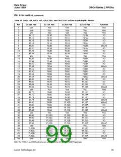
Table 25. OR2C/2T06A, OR2C/2T08A, OR2C/2T10A, OR2C/2T12A, and OR2C/2T15A/B  
256-Pin PBGA Pinout (continued)  
Pin  
Function  
2C/2T06A Pad  
PR12B  
PR12C  
PR12D  
PR11A  
PR11B  
PR11C  
PR11D  
PR10A  
PR10B  
PR10C  
PR10D  
PR9A  
PR9B  
PR9C  
PR9D  
PR8A  
PR8B  
PR8C  
PR8D  
PR7A  
PR7B  
PR7C  
PR7D  
PR6A  
PR6B  
PR6C  
PR6D  
PR5A  
PR5B  
PR5C  
PR5D  
PR4A  
PR4B  
PR4C  
PR4D  
PR3A  
PR3B  
PR3C  
PR3D  
PR2A  
2C/2T08A Pad  
PR13B  
PR13C  
PR13D  
PR12A  
PR12B  
PR12C  
PR12D  
PR11A  
PR11B  
PR11C  
PR11D  
PR10A  
PR10B  
PR10C  
PR10D  
PR9A  
2C/2T10A Pad  
PR15B  
PR15C  
PR15D  
PR14A  
PR14C  
PR14D  
PR13A  
PR13B  
PR13C  
PR12A  
PR12B  
PR11A  
PR11B  
PR11C  
PR11D  
PR10A  
PR10B  
PR10C  
PR10D  
PR9A  
2C/2T12A Pad  
PR17B  
PR17C  
PR17D  
PR16A  
PR16D  
PR15A  
PR15C  
PR15D  
PR14A  
PR14D  
PR13A  
PR12A  
PR12B  
PR12C  
PR12D  
PR11A  
PR11B  
PR11C  
PR11D  
PR10A  
PR10B  
PR10C  
PR10D  
PR9A  
2C/2T15A/B Pad  
PR18A  
PR18B  
PR18D  
PR17A  
PR17D  
PR16A  
PR16C  
PR16D  
PR15A  
PR15D  
PR14A  
PR13A  
PR13B  
PR13C  
PR13D  
PR12A  
PR12B  
PR12C  
PR12D  
PR11A  
PR11B  
PR11C  
PR11D  
PR10A  
PR10B  
PR10C  
PR10D  
PR9A  
U20  
T18  
T19  
T20  
R18  
P17  
R19  
R20  
P18  
P19  
P20  
N18  
N19  
N20  
M17  
M18  
M19  
M20  
L19  
L18  
L20  
K20  
K19  
K18  
K17  
J20  
I/O  
I/O  
I/O  
I/O  
I/O  
I/O  
I/O  
I/O-M1  
I/O  
I/O-VDD5  
I/O  
I/O-M2  
I/O  
I/O  
I/O  
I/O-M3  
I/O  
I/O  
I/O  
PR9B  
PR9C  
PR9D  
PR8A  
I/O  
I/O  
I/O  
I/O  
I/O  
I/O  
I/O  
I/O  
PR8B  
PR9B  
PR9C  
PR9D  
PR8A  
PR8B  
PR8C  
PR8D  
PR7A  
PR7B  
PR7C  
PR7D  
PR6A  
PR6B  
PR6C  
PR6D  
PR5A  
PR8C  
PR8D  
PR7A  
PR7B  
PR9B  
PR9C  
PR9D  
PR8A  
PR8B  
PR8C  
PR8D  
PR7A  
PR7B  
PR7C  
PR7D  
PR6A  
PR6B  
PR5B  
PR5D  
PR4A  
PR7C  
PR7D  
PR6A  
J19  
J18  
J17  
I/O-VDD5  
I/O  
I/O  
I/O  
I/O-CS1  
I/O  
I/O  
I/O  
I/O-CS0  
I/O  
I/O  
I/O  
I/O-RD  
PR6B  
PR9B  
PR9C  
PR9D  
PR8A  
PR8B  
PR8C  
PR8D  
PR7A  
PR7B  
PR6B  
PR6D  
PR5A  
H20  
H19  
H18  
G20  
G19  
F20  
G18  
F19  
E20  
G17  
F18  
PR6C  
PR6D  
PR5A  
PR5B  
PR5C  
PR5D  
PR4A  
PR4B  
PR4B  
PR4C  
PR4D  
PR3A  
PR4C  
PR4D  
PR3A  
Notes:  
The W3 pin on the 256-pin PBGA package is unconnected for all devices listed in this table.  
The OR2C/2T08A do not have bond pads connected to the 256-pin PBGA package pins F2 and Y17.  
The pins labeled I/O-VDD5 are user I/Os for the OR2CxxA and OR2TxxB series, but they are connected to VDD5 for the OR2TxxA series.  
The pins labeled VSS-ETC are the 4 x 4 array of thermal balls located at the center of the package. The balls can be attached to the ground  
plane of the board for enhanced thermal capability (see Table 29), or they can be left unconnected.  
Lucent Technologies Inc.  
95  
 复制成功!