欢迎访问ic37.com |
会员登录 免费注册
发布采购

OR2C15A-2BC208 参数 Datasheet PDF下载

OR2C15A-2BC208图片预览
型号: OR2C15A-2BC208
PDF下载: 下载PDF文件 查看货源
内容描述: 现场可编程门阵列 [Field-Programmable Gate Arrays]
分类和应用: 现场可编程门阵列
文件页数/大小: 192 页 / 2992 K
品牌: ETC [ ETC ]
 浏览型号OR2C15A-2BC208的Datasheet PDF文件第71页浏览型号OR2C15A-2BC208的Datasheet PDF文件第72页浏览型号OR2C15A-2BC208的Datasheet PDF文件第73页浏览型号OR2C15A-2BC208的Datasheet PDF文件第74页浏览型号OR2C15A-2BC208的Datasheet PDF文件第76页浏览型号OR2C15A-2BC208的Datasheet PDF文件第77页浏览型号OR2C15A-2BC208的Datasheet PDF文件第78页浏览型号OR2C15A-2BC208的Datasheet PDF文件第79页  
Data Sheet  
June 1999  
ORCA Series 2 FPGAs  
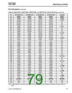
Pin Information (continued)  
Table 21. OR2C/2T04A and OR2C/2T06A 144-Pin TQFP Pinout  
2C/2T04A  
Pad  
2C/2T06A  
Pad  
2C/2T04A  
Pad  
2C/2T06A  
Function  
Pad  
Pin  
Function  
Pin  
1
2
3
4
5
6
7
8
VDD  
VSS  
VDD  
VSS  
VDD  
VSS  
I/O-A0  
I/O  
I/O-A1  
I/O-A2  
I/O-A3  
I/O  
43  
44  
45  
46  
47  
48  
49  
50  
51  
52  
53  
54  
55  
56  
57  
58  
59  
60  
61  
62  
63  
64  
65  
66  
67  
68  
69  
70  
71  
72  
73  
74  
75  
76  
77  
78  
79  
80  
81  
82  
83  
84  
PB2B  
PB2D  
VDD  
PB3B  
PB3D  
VDD  
I/O  
I/O  
VDD  
I/O  
I/O  
I/O  
I/O  
I/O  
I/O  
I/O  
I/O  
VSS  
I/O  
I/O  
I/O  
PL1C  
PL1B  
PL1A  
PL2D  
PL2A  
PL3D  
PL3C  
PL3A  
PL4D  
PL4C  
PL4A  
VSS  
PL5D  
PL5C  
PL5A  
VDD  
PL6D  
PL6C  
PL6A  
VSS  
PL7D  
PL7A  
PL8D  
PL8C  
PL8A  
PL9D  
PL9C  
PL9A  
PL10D  
PL10C  
PL10B  
PL10A  
VSS  
PL1A  
PL2D  
PL2A  
PL3D  
PL3A  
PL4D  
PL4C  
PL4A  
PL5D  
PL5C  
PL5A  
VSS  
PL6D  
PL6C  
PL6A  
VDD  
PL7D  
PL7C  
PL7A  
VSS  
PL8D  
PL8A  
PL9D  
PL9C  
PL9A  
PL10D  
PL10C  
PL10A  
PL11A  
PL12D  
PL12B  
PL12A  
VSS  
PB3A  
PB3D  
PB4A  
PB4C  
PB4D  
PB5A  
PB5C  
PB5D  
VSS  
PB6A  
PB6C  
PB6D  
PB7A  
PB7D  
PB8A  
PB8C  
PB8D  
VDD  
PB9A  
PB9C  
PB9D  
PB10A  
PB10C  
PB10D  
VSS  
DONE  
VDD  
VSS  
PB4A  
PB4D  
PB5A  
PB5C  
PB5D  
PB6A  
PB6C  
PB6D  
VSS  
PB7A  
PB7C  
PB7D  
PB8A  
PB8D  
PB9A  
PB9C  
PB9D  
VDD  
PB10A  
PB10C  
PB10D  
PB11A  
PB11D  
PB12A  
VSS  
DONE  
VDD  
VSS  
9
I/O  
10  
11  
12  
13  
14  
15  
16  
17  
18  
19  
20  
21  
22  
23  
24  
25  
26  
27  
28  
29  
30  
31  
32  
33  
34  
35  
36  
37  
38  
39  
40  
41  
42  
I/O-A4  
I/O-A5  
I/O  
I/O-A6  
VSS  
I/O  
I/O  
I/O-A7  
VDD  
I/O  
I/O-VDD5  
I/O-A8  
VSS  
I/O-A9  
I/O-A10  
I/O  
I/O-VDD5  
I/O  
I/O-HDC  
I/O  
I/O  
VDD  
I/O-LDC  
I/O  
I/O  
I/O-INIT  
I/O  
I/O  
I/O-A11  
I/O-A12  
I/O  
I/O-A13  
I/O-A14  
I/O  
I/O  
I/O-A15  
VSS  
CCLK  
VDD  
VSS  
I/O-A16  
I/O  
I/O-A17  
I/O  
I/O  
VSS  
DONE  
VDD  
VSS  
RESET  
PRGM  
I/O-M0  
I/O  
I/O  
I/O-M1  
I/O  
I/O  
I/O-M2  
I/O  
RESET  
PRGM  
PR10A  
PR10B  
PR10D  
PR9A  
PR9C  
PR9D  
PR8A  
PR8B  
PR8D  
RESET  
PRGM  
PR12A  
PR12D  
PR11A  
PR10A  
PR10C  
PR10D  
PR9A  
PR9B  
PR9D  
CCLK  
VDD  
VSS  
PB1A  
PB1C  
PB1D  
PB2A  
CCLK  
VDD  
VSS  
PB1A  
PB1D  
PB2A  
PB3A  
I/O  
Note: The pins labeled I/O-VDD5 are user I/Os for the OR2CxxA and OR2TxxB series, but they are connected to VDD5 for the OR2TxxA  
series.  
Lucent Technologies Inc.  
75  
 复制成功!